Выгодно ли заниматься маникюром на дому?
Выгодно ли делать маникюр на дому? В чем разница между салонным обслуживанием и домашней мастерской красоты?
Фото с сайта YouTube
Плюсы и минусы есть и в том, и в другом варианте. Почему многие клиенты выбирают салон?
- Точно знают, что их права защищены.
- Уверены в том, что помещение и все приборы прошли проверку в СЭС, а значит соответствуют нормам гигиены.
- Знают, что каждый сотрудник квалифицирован и прошел нужно обучение.
За это многие готовы даже несколько переплатить. А вот те, кто выбирают поход к мастеру маникюра на дому больше ценят бюджетную стоимость услуги. И все же, вторая категория людей, которая как раз и станет вашей клиентской базой, так же хочет быть уверена, что их здоровью ничего не угрожает.
Если на вашу сертификацию с официальным дипломом многие могут даже не посмотреть, обратив внимание только лишь на практические навыки и предыдущие работы, то санитарные нормы вам придется соблюдать. Помимо всех необходимых приборов непосредственно для маникюра придется приобрести дезинфектор и соблюдать стерильную чистоту в рабочей комнате и особенно на столе
Только так ваши гости смогут вам доверять.
В обязательном порядке уделяйте время санитарной уборке рабочего помещения – никакой пыли, использованных принадлежностей и грязных пилок быть не должно!
Подробный и обширный бизнес план маникюрного бизнеса предстоит расписывать тем, кто открывает свой салон с наемными работниками – мастерами, администраторами и уборщицами. А для тех, кто будет работать на себя этот пункт гораздо проще.
Обобщенная архитектура
В отличие от проблемы дифференцируемости, которую ученые элегантно решили сплайнами, проблема с масштабируемостью KAN не сдалась так легко. Как сделать так, чтобы в сеть можно было добавить больше слоев и нейронов? Ведь для этого нужна обобщенная теорема Колмогорова-Арнольда, а ее просто-напросто не существует.
Вот тут и заключена прорывная часть работы. Исследователи заметили, что по аналогии с перцептроном мы можем на каждом слое построить матрицу обучаемых объектов. Просто в нашем случае это будут не параметры (числа), а функции. В терминах матрицы исходная формула оказывается не законом, а просто частным случаем KAN с двумя слоями. А обобщенный KAN – это более глубокая композиция таких матриц:
А саму теорему для KAN можно переписать вот так:
В остальном, кроме изящной внутренней математики, работать с KAN можно также, как с обычными сетями: добавлять и удалять нейроны, стекать слои, использовать дропаут и даже регуляризацию.
С чего начать маникюрный бизнес на дому
Первый шаг, как и в любом деле, это обучение. Как начать делать маникюр на дому, если вы не подготовлены к любой просьбе клиента. На специальных курсах вас научат правильно пользоваться всеми необходимыми инструментами, тщательно следить за гигиеной, аккуратно и быстро выполнять всю работу.
Есть и другой вариант – самостоятельное обучение. Возможно, у вас нет возможности пройти даже относительно недорогие курсы, в таком случае придется потратить время на поиск хороших программ и видео-уроков в интернете.
Самообразование – это более длительный и трудоемкий процесс – поиск качественных материалов скорее всего затянется, зато вы будете вознаграждены полученными навыками.
Стоит сразу отметить еще один нюанс – для многих клиентов определяющим становится «корочка» – сертификат об окончании обучения. Учтите это заранее, чтобы потом не разочароваться при подборе клиентской базы. Вам придется сразу оговаривать этот момент во избежание неловкостей.
Мы можем предложить компромиссное решение: поработав некоторое время без сертификата, вы накопите нужную сумму и пройдете курсы уже будучи практикующим мастером. Таким образом, к вашей, уже существующей базе, прибавится еще некоторое количество клиентов.
Фото с сайта hochu.ua
Маникюр на дому: с чего начать? Как выбрать обучение? Допустим, вы в самом начале своей домашней бизнес-карьеры, куда обратиться, чтобы изучить все тонкости дела? Может показаться, что занятие это граничит с развлечением. Многие скажут, что рисование на ноготках – это творчество и никаких трудностей возникнуть не может. Тем не менее, это зачастую сложнее, чем кажется. Прежде чем отважиться на профессиональную деятельность стоит знать о том, что придется долго сидеть в не самой удобной позе и иногда принимать клиентов в не очень подходящее время. Если это все вас не пугает, маникюр на дому как бизнес – ваша тема.
Фото с сайта natjazhnoi-potolok.ru
Существует всего несколько вариантов обучения:
Экспресс-курсы. Они длятся около недели и стоят совсем недорого – в каждом городе свои расценки и все же эта сумма, в сравнении с другими крайне мала. Остро стоит вопрос о практических навыках, которые могут дать на таких занятиях. Такой вариант стоит приберечь тем, кто решил всему научиться самостоятельно. После того, как вы будете разбираться в практике, получите несколько теоретических советов и сразу же диплом.
Курсы с практическими уроками. Они будут стоит дороже – в зависимости от престижности школы, которая их проводит и от преподавателя. Зато на этих уроках вы сможете получить не только основы основ, но и изучить приемы, которыми пользуются профессионалы в салонах красоты.
Фото с сайта http://xn--80aae6atcmjdh1l.xn--p1ai/
И третий вариант – наймите для себя репетитора. Это звучит дико только на первый взгляд. Нет ничего зазорного и странного в том, чтобы попросить за некоторую сумму мастера, которому вы доверяете, дать несколько уроков. Вы сможете самостоятельно составить программу, набросать темы, которые интересны и по порядку разобраться в них.
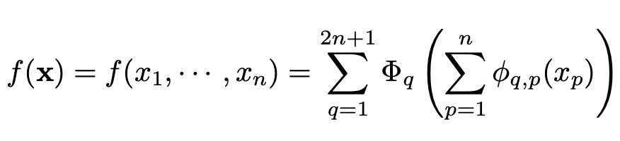
Теорема Колмогорова-Арнольда
Чтобы точно понять строение KAN, нужно разобраться с математикой. Но обещаем, эта часть будет нескучной и совсем не сложной.
Итак, заслуга Колмогорова и Арнольда заключается в том, что они доказали, что аппроксимация непрерывной ограниченной функции от множества переменных сводится к нахождению полиномиального числа одномерных функций:
Казалось бы: это отличная новость для машинного обучения: получается, чтобы «воссоздать» большую страшную функцию связи между входами и выходами сети, нам нужны обычные одномерные функции, число которых с ростом параметров к тому же растет полиномиально, а не экспоненциально.
Однако, не все так просто.
- Во-первых, наши одномерные функции могут оказаться негладкими и даже фрактальными, и их будет невозможно обучить.
- Во-вторых, число таких функций и глубина композиции в теореме фиксированы, а значит наша нейронная сеть будет иметь всегда один и тот же размер (2 слоя и 2n+1 нейронов на них). Получается, что подход совсем деревянный и не масштабируется.
Именно эти два пункта раньше останавливали ученых, которые пробовали применять Колмогорова-Арнольда в ML. Да-да, идея не новая, но по-настоящему развили ее только сейчас: в отличие от предшественников, авторы KAN придумали, как обойти проблемы, и в итоге получили блестящий результат. Итак, давайте посмотрим, что они сделали.
«Звездный» маникюр на миллион
Без сомнения, лидером самого дорогого маникюра и обладательницей самых дорогих ногтей в мире посчастливилось стать певице и актрисе Келли Осборн. На благотворительном аукционе Azature Black Diamond Affair в Лос-Анджелесе в 2013 году она представляла лак с бриллиантовой крошкой от известнейшей ювелирной марки Azatur. Лак был наполнен белыми бриллиантами на 98 карат.
«Ногти на миллион» — такие были заголовки в СМИ и подписи к ее фото. Именно баснословным 1 500 000 (от 1 000 000 — по разным оценкам) долларов равнялась стоимость ее тогдашнего маникюра.
Деньги от продажи лака на аукционе пошли в Фонд борьбы с раком толстой кишки, основателем которого была мать Келли, Шерон Осборн.
Самый дорогой в мире лак
На данный момент самый дорогой лак создан компанией Azature. Это произведение с черными алмазами получило название Azature Black Diamond. В его флаконе собрано бриллиантов на 267 каратов. Продукт был выпущен в единственном экземпляре и стоил 250 тысяч долларов.
На втором месте среди самых дорогих гель-лаков стоит Gold Rush Couture. С этим лаком ногти блестят как бриллианты, выложенные на золотую пластину. Крышка флакона сделана вручную из золота и усыпана настоящими бриллиантами. Стоимость лака 130 тысяч долларов.
Фото: Goldengod.ru
Лак из платинового порошка I Do от Elle Cosmetics за 55 тысяч долларов стоит на третьем месте среди самих дорогих и изысканных лаков. Его считают идеальным для свадебного маникюра. Говорят, что он стоит своих денег.
Дорогой лак могут себе позволить много женщин. Украсить же ногти платиновым лаком или сделать маникюр с алмазами имеют возможность единицы. Так что, если хотите побаловать себя — имитируйте самые дорогие маникюры в мире. Например, бриллиантовую крошку заменят блестки, вместо драгоценных камней используйте стразы. Доставляйте себе удовольствие и делайте красивый маникюр доступными способами.
Наращивание в США
Для начала ознакомимся с нейл-культурой Америки на примере профессионального мастера и известного нейл-блогера Анастасии Милтон, которая уже несколько лет живет и работает в США. Недавно она посетила один из бюджетных салонов Северной Каролины и вот ее отзыв:
В целом маникюр получился не самым аккуратным и качественным: материал заплыл под кутикулу, что практически гарантирует отслойки в будущем, фома ногтей оказалась разной, а архитектура искусственных ногтей — ненадежной.
9 способов, как заставить простые вещи выглядеть эффектно
@xle.nails
Что по цене? Наращивание акрилом + дизайн обошелся Анастасии в 60$, в пересчете на рубли по актуальному курсу эта сумма равна 6000. Гелем в США не наращивают.
Шокирующий факт: в салонах США принято оставлять чаевые в размере минимум 10% от стоимости услуги, поэтому поверх основной суммы в чек девушки включили еще 10$. Итого ногти обошлись в 70$.
@xle.nails
Какие же плюсы и минусы есть в работе мастера по маникюру?
Каждая деятельность имеет ряд своих плюсов и минусов.
| Плюсы | Минусы |
| Если работа нравится, можно испытывать удовольствие | Если работа не нравится, то вы будете ходить на нее как на каторгу |
| Общение с клиентами | В некоторых случаях приходится встречаться с людьми, которые не нравятся |
| Учишься оказывать дополнительные услуги психолога | Иногда выслушивание людей и раздача советов забирают все силы |
| Хороший заработок (есть возможность заработать миллион на маникюре) | Вредное производство (приходится вдыхать лаки, растворители и прочую химию) |
| Делаешь женщин счастливыми | У некоторых начинается аллергия |
| Если научиться делать педикюр, можно зарабатывать еще больше денег | Нужно не забывать стерилизовать инструменты для маникюра |
| Можно переехать в Европу или Америку, где мастера по маникюру пользуются спросом | Клиент может просто не прийти, а мастер потеряет свое время |
| Некоторые салоны могут отправлять своих мастеров на курсы повышения квалификации | Нужно развивать свои знания, чтобы быть конкурентоспособным |
Каждый человек может по-разному смотреть на ту или иную работу и то какие именно плюсы или минусы он видит зависит только от того, любит ли он свое дело. Любой талант следует развивать, чтобы превзойти себя, маникюр не исключение. Мастера набивают руку, но чтобы идти в ногу со временем, нужно быть в курсе всех трендов.
С некоторыми минусами можно работать. Например, у новых клиентов мастера берут предоплату, в случае, если клиент не пришел – они хоть как-то возмещают себе потерю времени. Кто-то больше не берет тех клиентов, что без предупреждения не приходили несколько раз. Также нужно не забывать делать стерилизацию инструментов, потому что, если этого не делать, можно инфицировать клиента каким-нибудь заболеванием, нечаянно порезав его. Разобраться с этим минусом можно, только если у мастера выработается привычка. В противном случае, разъяренный клиент, может обратиться в суд на салон и мастера.
Достойно книги рекордов Гиннеса
Самый дорогой маникюр, который может попасть в книгу рекордов Гиннесса, был сделан в Израиле. В покрытии использованы большие бриллианты эксклюзивной огранки, рубины, сапфиры и аметисты. Стоил он приблизительно миллион шекелей (около 300 тысяч долларов). Акцию самого дорогого маникюра провел самый большой магазин израильской алмазной биржи Ramat Gan Diamond Center (RD).
Эту роскошную процедуру сделала Анна Перельмутер, мастер маникюра, преподаватель дизайна и художественной росписи в Yulliaschoo. Как рассказал Роман Кушнир, специалист по драгоценным камням, для этого маникюра было использовано более 100 маленьких бриллиантов общей массой 4,25 карата, более 30 рубинов и сапфиров массой 0,9 карата, 2 карата аметистов и 2 больших белах бриллианта общим весом 4 карата.
Все это состояние украшало руки Юлии Данилочкиной. Она стала победительницей конкурса Facebook, организованного для израильтянок, говорящих на русском языке. «Я практически не дышала, понимая, что на моих руках бриллианты, и это стоит квартиры в Тель-Авиве», — рассказывала потом о своих впечатлениях Юлия.
Выпить вина
Кто не любит хорошее вино? Отправляйтесь за ним в Дубай. Там действует уникальное предложение: за 200 тысяч долларов вам предложат не только 12 бутылок великолепного Шато Марго десятилетней выдержки, но и полет во Французскую винодельню первым классом, и экскурсию по винному погребу. Не обязательно ограничиваться одним ящиком: закажите столько литров, сколько пожелаете. Арендуйте VIP-самолет и спокойно везите сокровище домой: проблем на таможне не будет!
А для экономных Cofrance SARL предлагает все то же, только значительно дешевле, причем аренда самолета уже входит в тур-пакет. И зачем делать крюк в Дубай? Вас отправят сразу во Францию и провезут по всем элитным винодельческим замкам, каким вы только пожелаете!
Покрытие гель-лаком из Кореи
Как делают маникюр в Сеуле мы узнали благодаря блогеру Лиссе Авеми. И азиатский сервис, как и американский, очень сильно отличается от нашего.
@esmaltika
В Азии практически не выполняют аппаратный маникюр, отдавая предпочтение обрезному, кутикулу при этом сильно не обрабатывают.
Длинные волосы — больше не в моде: вот новый тренд в прическах на 2019 год
Поток клиентов в корейских салонах большой, поэтому нейл-мейкеры всеми силами стараются работать быстрее. Для ускорения они покрывают все ногти базой в один подход, из-за чего материал ложиться неровно и ногти в итоге выглядят неодинаковыми. Иногда два мастера делают маникюр одному клиенту — каждому достается по руке.
Что по деньгам? В хорошем столичном салоне маникюр + покрытие гель-лаком обходятся в среднем в 80-100$. По актуальному курсу это почти 10 000 рублей.
@krystalohnails
Поужинать вдвоем
Если не жаль два миллиона долларов, закажите на них романтический ужин на двоих в Сингапуре. Прекрасный вечер включает не только еду, но и развлечения. Вас ждут полет на вертолете, поездка на лимузине и прогулка на яхте.
Сам ужин состоится на крыше высотного здания. Влюбленных ждут элитные вина, икра уникальной белуги, изысканные устрицы, филе лосося, обжаренное на дровах яблони, и много других кулинарных изысков. Свидание будет сопровождать живая музыка, а в финале пара получит в подарок дизайнерские палочки для еды, украшенные бриллиантами.
Кстати если вы желаете получить все те же услуги, только раз в сто дешевле, обращайтесь в компанию Cofrance SARL. Романтический вечер с яхтами, вертолетами, лимузинами, небоскребами и элитной кухней компания готова организовать в любой точке мира по вашему желанию.
Мария Самсонова, Майами
Мой поход на маникюр стоит в районе $85 (около 6500 руб.) без учета чаевых, которые составляют 18 или 20% (7800 руб.). В эту сумму входит снятие, обработка кутикулы, укрепление, новый гель-лак (без наращивания длины и дизайна).
На маникюр я хожу один раз в месяц. Получается, что я стабильно трачу $85–100. Но я хожу только в российские салоны (или к русскоговорящим мастерам).
Например, в Вашингтоне, Майами, Нью-Йорке есть из чего выбрать, потому что практически в каждом районе есть салон с полностью русскоговорящим коллективом, где можно получить весь спектр услуг, помимо ногтей, — наращивание ресниц и волос, окрашивание, коррекцию бровей и так далее.
В таких городах, как Питсбург, Филадельфия и Сент-Луис, может быть один салон на весь город либо их может не быть вообще. И остается единственный выход — найти мастера, работающего на дому.
Жанна Гапонова, Бали
Стоимость зависит от салона и от того, что конкретно делать. В хорошем салоне средняя цена маникюра, педикюра и покрытия от 1 млн рупий (примерно 5000 руб.). Я делаю снятие, маникюр, педикюр и покрытие гель-лаком. В последний раз я отдала за это в районе 1,2 млн рупий (примерно 6200 руб.).
На Бали есть особенность — при открытии бизнеса твой персонал должен состоять из местных жителей, поэтому во всех салонах маникюр делают индонезийки. Качество во многом зависит от владельцев салона и того, как они обучили персонал. Поэтому техника, квалификация мастера и результат могут очень сильно отличаться вне зависимости от цены.
У меня был опыт похода как в «европейский» салон, где клиенты в основном иностранки, так и в салон, который открывали российские ребята. Разница ощутима — и в качестве, и в цене. Бьюти-сфера у наших по качеству сильно выше, как и требования к маникюру от мастеров-индонезийцев.
Был у меня и неприятный опыт, когда я пошла в европейский салон. Отсутствие уюта, странный дизайн, много мастеров, развалившихся за стойкой вместо администратора, много людей, какая-то суматоха, неудобные кресла, разбросанные на тумбочках инструменты.
Что меня ждет тлен, я поняла уже на снятии. Меня несколько раз ранили во время маникюра и педикюра, кутикулу срезали плохо, а при нанесении цвета и на ногах, и на руках все стекло.
По качеству получился был полный треш: все неровное, затекшее, толстый слой лака на ногтях. Такие маникюр и педикюр обошлись мне в 750 тыс. рупий (это где-то 4000 руб.), то есть дешевле «российского» салона. Но повторять не хочется.
Заработать миллион на маникюре: Интервью с Раминой
Первый мастер Рамина работает в этой сфере в городе Алматы уже более четырех лет.
‒ Какие у вас тарифы на маникюр?
‒ От 7000 тенге и выше
‒ От чего зависит заработок?
‒ Заработок зависит только от клиентов. То есть если есть клиенты — есть заработок, нет клиентов — нет заработка.
‒ Какой процент за маникюр изымается со стороны работодателя?
‒ Процент маникюра с моей стороны получается 40%, 60% салону.
Заработать миллион на маникюреФото: Pixabay.com
‒ Максимальное количество клиентов за день по вашей памяти?
‒ Максимальное количество клиентов в день 8 или 9, а стабильно 7.
‒ Есть ли какие-то уловки со стороны хозяек салонов?
‒ Нет, никаких уловок нет практически.
‒ Можно ли зарабатывать большие суммы работая в салоне или лучше работать самостоятельно?
‒ Да, конечно, можно работать больше и зарабатывать большие суммы в салоне. Это вообще без слов. Главное работать и быть уверенной в себе.
Конечно же лучше работать самостоятельно, если у тебя есть своя клиентская база, если ты полностью уверена, что у тебя полная клиентская база и, если ты можешь смело уйти из салона и работать на себя. Можно купить необходимый материал, но при этом его можно окупить уже за неделю. Даже не за неделю, если стабильные клиенты каждый день по 7 человек, то легко за 3-4 дня можно выкупить весь материал.
Заработать миллион на маникюреФото: Pixabay.com
‒ Оправдывается ли покупка качественных материалов и оборудования?
‒ Касаемо оборудования и всяких материалов салона нас вообще никак не касается. То есть салон предоставляет все сам. Абсолютно все представляет салон, поэтому наш процент 40, а их 60.
‒ За какое время Вы делаете маникюр?
‒ Маникюр я делаю за полтора часа, иногда и раньше заканчиваю. Ну, смотря что там нужно сделать. А так в основном стабильно полтора часа.
‒ Сколько понадобилось времени, чтобы наработать руку для опыта?
‒ Чтобы набить руку понадобился примерно месяц. Смотря как ты работаешь: если ты такая шустрая — то конечно же набить можно побыстрее. А так тут нету такого, что стоп, ты уже топ-мастер и это твой потолок. Я вот уже топ-мастер и у меня нет такого, чтоб некуда было расти. Всегда есть куда расти. Всегда.
Заработать миллион на маникюре Фото: Freepik.com
‒ Были ли у Вас мысли наработать свою клиентуру и делать маникюр выезжая к клиенту или работать у себя дома?
‒ Да, конечно. Всегда должен быть дополнительный второй доход. Именно свои клиенты, ну, которые тебе уже как подруги за долгое время стали. Естественно, они могут приходить к тебе домой, и ты делаешь им маникюр за весь процент и забираешь все себе.
‒ Почему Вы решили зарабатывать именно на маникюре?
‒ Потому что, когда ты работаешь в сфере Beauty industria, ты всегда ходишь при деньгах. То есть ты всегда получаешь живые деньги от каждого клиента. У тебя всегда есть в кармане деньги.
Заработать миллион на маникюре Фото: Freepik.com
‒ Можете ли Вы рассказать интересную историю из Вашего опыта?
‒ Когда у меня были первые модели, я ранила чуть ли не каждый палец. Ну на одной руке 2-3 пальца ранила, потому что я сама по себе такая скоростная. Раньше я занималась спортом и когда пришла в эту сферу, для меня все это было дико. Я постоянно куда-то спешила, торопилась и постоянно ранила клиента.
Еще бывали такие клиенты, которые могли вынести весь мозг. Не зная что именно они хотят, требовали от меня чего-то. А ты вымазываешься, всю душу в это вкладываешь, а они все равно остаются недовольными.
‒ Можно ли заработать миллион на маникюре?
‒ Конечно, можно заработать миллион на маникюре в месяц, но только когда у тебя уже есть своя клиентская база, которая весь месяц и последующие месяцы просто крутится. Когда приходят все и ты работаешь на себя. То есть, когда ты взял материалы и уже окупил их все, ты работаешь на себя. Тогда в легкую можно делать по миллиону в месяц.
Касаемо того, что если в салоне работать на проценты, честно скажу, вообще нет. Даже 500 000 тенге сложно будет заработать. Я делала рекорд 450 000 тенге за месяц и это было на новый год. Тогда графики были 6/1, а бывало, что я работала вообще без выходных весь декабрь. А в обычные будни, в обычные месяцы без каких-либо крупных праздников получается делать ну 250 000-300 000 тенге. В месяцы с праздниками можно заработать выше 350 000 тенге.
Произвести тюнинг самолета
Знаменитый производитель бизнес самолетов для частных рейсов Embraer предлагает усовершенствование собственных моделей панорамными окнами и крышами. Чтобы любоваться облаками и далекой поверхностью Земли в дымке, компания переделывает джеты, добавляя иллюминаторов и света.
Заказать подобные и любые другие усовершенствования своего самолета можно через компанию AVIAV TM (Cofrance SARL), которая является официальным брокерским представителем Embraer. Стоимость панорамного остекления – от 10 миллионов долларов, но владельцам частных джетов не привыкать платить подобные суммы.
Зарина Рахбанова, Алматы
Я живу между Россией и Казахстаном, маникюр предпочитаю делать в Москве у проверенных и любимых мастеров. Я люблю сложный нейл-арт, поэтому хожу в салон «Мел». В Алматы поход на маникюр стоит около 1300 руб. — снятие, маникюр и гель-лак, но салонов уровня «Мела» я там не нашла, за подобный дизайн берутся только самые смелые мастера.
Почему еще я выбираю Москву? В Казахстане у меня случился неприятный опыт: как-то раз мастер объяснил мне криво засохшую базу тем, что у меня кривые пальцы. На мой комментарий о бестактности высказывания он ответил еще одной тирадой о кривых пальцах. Я делаю гель-лак уже десять лет, но такое со мной было впервые.
Самые дорогие и роскошные варианты
Женщины питают слабость к роскоши. И свои ноготки желают сделать очень изысканными и неповторимыми.
Дорогой маникюр получается тогда, когда при покрытии и украшении ногтей используются:
- бриллианты;
- алмазы;
- драгоценные камни;
- платина;
- золотое напыление;
- жемчуг.

Некоторые из роскошных маникюров включают только один смелый и блестящий цвет ноготков с крошечными измельченными бриллиантами в жидкости. Другие пышные маникюры дополняют большими бриллиантами или другими драгоценностями стоимостью в тысячи долларов.
Так или иначе, дорогое ногтевое искусство — один из лучших способов, чтобы самые богатые женщины баловали себя и демонстрировали свой стиль.
С бриллиантами
С бриллиантами дружат не только обычные женщины, но и мастера маникюра. Искусство маникюра с применением бриллиантов имеет название «Ised Diamond Manicure».
Такой маникюр можно сделать в Cherish Me, лондонской студии красоты, «всего» за 51 тысячу долларов. Подала идею и придумала дизайн владелица салона Cherish Angula.

Дизайн ногтей с использованием драгоценных камней продумывается до мелочей и внедряется в жизнь. В данном маникюре, кроме 10-каратных бриллиантов и прозрачного лака ничего не используется. Техника немного напоминает французский маникюр, с той существенной разницей, что кончики ногтя покрываются бриллиантами.
Несмотря на то, что салон красоты находится в Дорчестере, Лондон — желающая с любой точки мира может сделать бриллиантовые ноготки. Мастера специально прилетают для такого заказа.
Этим пользуются знаменитости, которые мечтают о такой роскоши. Например, певица Кэтти Перри украсила ногти бриллиантами перед церемонией MTV Europe Music Awards.
С драгоценными камнями
Не менее роскошно выглядят на ногтях и другие драгоценные камни:
- рубины
- сапфиры
- изумруды
Лейтон Денни, эксперт красоты и владелец Day SPA и Saloon в Лондоне, начал использовать их в дизайне. Цена такого маникюра достигает 32 тысяч долларов. Такой вид искусства стал популярным среди арабских принцесс. За первый месяц появления в салоне такой услуги на драгоценный маникюр зарегистрировалось около 170 человек.
Желающим получить такой маникюр приходится запасаться терпением и ожидать своей очереди.

С алмазами
Чистый, прозрачный лак для ногтей и алмазы различного размера — главные составляющие такого маникюра. Потом его можно снять, распорядившись алмазами по собственному усмотрению. Их можно использовать и для последующего нанесения на ногти.
В этой категории самое желанное — покрытие известным лаком с алмазами от Azature.
Для тех, кто ищет маникюр, который наполнен блеском и не может сколоться, алмазные кольца для ногтей — подходящий вариант. Кольца для ногтей, разработанные Жюль Ким, как правило, имеют сменную форму и алмаз.

Жюль Ким является собственницей и создателем ювелирных изделий Bijules. Она говорит, что все ее произведения «навсегда», поскольку сделаны из самых роскошных составляющих. Пикантные кольца стоят более 30 тысяч долларов за набор.
С платиной
Оригинальный лак из платины был выпущен в 2005 году в Лас-Вегасе ограниченным тиражом. Изготовлен лак из чистой платины — драгоценного, серебристо-белого металла. Это один из самых редких элементов в мире. Поэтому, и маникюр настоящей платиной — только для избранных.
Есть и более дешевые версии этого маникюра, но и разница ощутима.

Золотой маникюр
Лондон можно считать центром самого дорогого маникюра. В одной из гостиниц на знаменитой улице Пикадилли находится салон Ritz, в котором мастера предлагают услугу золотого маникюра. Идея принадлежит Джеффу Пинку. Он также известен как основатель бренда средств ухода за ногтями Orly.
Золотой маникюр обойдется в 120 долларов. Мастер сделает:
- покрытие;
- увлажняющую ванночку;
- массаж с оливковым маслом.
Процедура занимает около полутора часов.
Кстати, знаменитости также любят золотой маникюр. В 2012 поп-певица Риана, которая удостоена Грэмми, нарисовала ногти золотым лаком от Red Carpet Manicure стоимостью 5 тысяч долларов.

Собрать ребенка на отдых
Не все любят собирать детские чемоданы, а у деловых людей просто нет на это времени. Когда наступает пора ехать куда-то с ребенком или отправлять его в лагерь, их ждет огромный стресс. Но выход есть! Всего за тысячу долларов добрая женщина из США окажет профессиональную помощь в этом нелегком деле.
Будучи консультантом по наведению порядка (есть и такая специальность), она обнаружила спрос на данную услугу. Оперативно и грамотно женщина уложит все необходимое для ребенка, не задавая лишних вопросов. А вообще, глядя на хаос и завалы вещей в современных детских, понимаешь, что тысяча долларов – это совсем немного…
Маникюр и дизайн от отечественного мастера
Для сравнения оценим работу московского мастера глазами независимого потребителя, который не знаком с российским нейл-сервисом. Далее — впечатления азиатки Мин Кёнха от наших мастеров.
Для российских мастеров репутация гораздо важнее скорости работы и количества клиентов, а безопасность и здоровье посетителей всегда на первом месте. Стерилизация инструментов и чистота на рабочем месте выгодно выделяет наших специалистов среди прочих.
Главные анти-тренды: 9 вещей, с которыми уже давно следует попрощаться
@nogti.best
@nogti.best
Кстати, с ценами на услуги наших мастеров вам хорошо знакомы, но мы всё равно напомним: средний ценник за покрытие без дизайна составляет 2-2,5 тысячи рублей, то есть около 25$.
Российские мастера высоко ценятся в других странах, а шутки про то, что они могут сколотить за границей целое состояние на ногтях уже не кажутся такими неправдоподобными. Честь и хвала отечественным профессионалам!
Выводы
Заработать миллион на маникюре Фото: Instagram Дианы
Заработать миллион на маникюре Фото: Instagram Дианы
Корреспондент Bizmedia.kz нашел еще одного мастера Анастасию, который тоже длительное время делает маникюр в городе Алматы.
«Я уверена, что вполне можно заработать миллион на маникюре. Если хороший мастер сидит в дорогом салоне, в Алматы или в столице. Я на свою зарплату в обычном салоне тянула двоих детей, двухкомнатную квартиру в хорошем районе, не говоря уже о том, что мы отлично обувались и одевались. Еще мы постоянно где-то гуляли на зарплату, я отправляла деньги маме в другой город и умудрялась неплохо откладывать. На тот момент 5 лет назад я зарабатывала более 300 000 тенге, причем в то время это были хорошие деньги», - вспоминает мастер по маникюру Анастасия.
В итоге мы получили необходимую информацию, по которой можно сделать выводы:
- Можно заработать миллион на маникюре, но нужно работать на себя с уже готовой клиентской базой;
- Чтобы зарабатывать как можно больше, нужно искать работу в хороших салонах Алматы или Нур-Султана;
- Работа в салоне не позволяет заработать больших денег, зато обеспечивает оборудованием и большинством материалов. Кроме того, работая в салоне – можно найти себе верных клиентов и набить руку;
- Работать на выезд с маникюром не выгодно;
- Для дополнительного заработка можно работать на дому в выходные или вечером с близкими клиентами;
- Для того, чтобы добиться успехов в этой сфере, как и в любой другой, нужно любить свою работу и отдавать ей всю себя.
- Как заработать деньги в интернете в 2022 году в Казахстане
- Пособие по безработице 2022 в Казахстане: как получить и размер
- Работа для студентов в РК, что предлагают, сколько платят




















